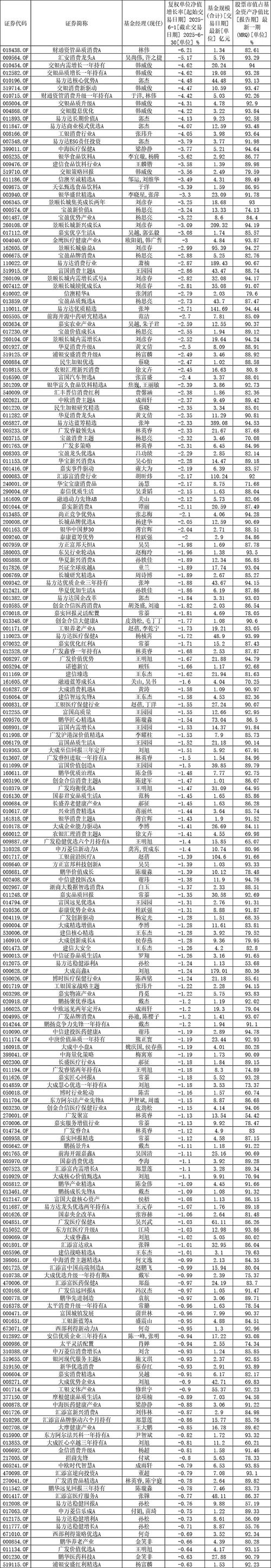
当前市场暖意渐浓,上证指数站上4100点,但热点轮动频繁,投资者既渴望把握行情机遇,又担忧“踏空”或“追高”的风险。在这样的市场环境下,单一押注某一赛道或风格往往需要承受较大波动,而那些不局限于单一行业、能主动迭代策略、在长期长跑中持续“攀峰”的基金,更能为投资者提供不错的收益体验。这类基金不依赖对单一风口的豪赌,而是通过深度产业研究、灵活组合管理与严格风险控制,力争在不同市场周期中实现资产的增值。Wind数据显示2026年主动股票型基金整体收益率,截至1月16日,全市场5954只主动权益基金(含普通股票型、偏债混合型等五类)中,剔除成立不满三年的产品后,有789只净值创下成立以来新高,这意味着持有至今的投资者均处于盈利状态,投资体验更为扎实。富国基金旗下多款产品也位列其中,如富国通胀通缩主题、富国中小盘精选、富国高端制造行业等,展现出强劲的长期盈利能力。
富国通胀通缩主题
A类代码 C类代码
基金经理曹晋
数据显示,截至1月16日,富国通胀通缩主题混合A净值达7.5860。
从业绩表现来看,富国通胀通缩主题混合A近6个月净值增长率为74.82%,同期业绩比较基准收益率为13.88%,超额收益达60.94%;近1年净值增长率为106.48%,同期业绩比较基准收益率为14.27%,超额收益超90%。
从排名来看,近一年、近三年、近七年、近十年排名均位列同类前2%,显示其在不同市场周期中的持续领跑能力。

注:基金净值增长率及同期业绩比较基准收益率数据来源于富国基金,以上各区间的基金净值增长率和业绩比较基准收益率已经经托管人复核,时间截至2025年12月31日,基金收益率不代表投资者实际收益率,基金份额净值仅为每份额基金产品的净资产。排名数据来源于晨星,截至2025/12/31,近一年、近三年、近七年、近十年业绩同类排名分别为25/1855、16/1675、12/794、7/492,同类产品为中国开放式基金-积极配置-大盘成长;同类排名数据由版权所有。晨星及其内容供应商对于您使用任何相关资料而作出的任何有关交易,投资决定均不承担任何责任。过往业绩不代表将来表现。同类排名结果系评价机构基于基金过往表现综合判定,并不构成对基金管理人或单只产品的未来投资建议。富国通胀通缩主题轮动混合A/B成立于2010/05/12,业绩比较基准为沪深300指数收益率*80%+中债综合指数收益率*20%。近5个完整年度(2020-2024)的基金份额净值增长率(及同期业绩比较基准收益率)为72.43%(22.47%),11.99%(-2.97%),-23.09%(-16.91%),-2.64%(-8.23%),5.31%(13.64%),数据来自基金定期报告,截至2024/12/31。期间基金经理变动情况:宋小龙(2010/05/12-2011/08/16)、尚鹏岳(2010/10/14-2015/06/09)、赵涛(2011/08/16-2014/01/29)、毕天宇(2015/06/09-2017/10/24)、章旭峰(2015/08/10-2017/10/24)、易智泉(2017/10/17-2019/08/12)、曹晋(2019/02/01至今)。基金收益率不代表投资者实际收益率,基金份额净值仅为每份额基金产品的净资产。基金历史业绩不构成对未来业绩的保证。
富国中小盘精选
A类代码 C类代码
基金经理曹晋
数据显示,截至1月16日,富国中小盘精选A/B近1年净值增长率118.48%,同期业绩比较基准收益率32.27%,超额收益达86.21%;自成立以来净值增长率460.40%,同期业绩比较基准收益率53.23%,超额收益达407.17%。
从排名来看,近一年、近两年、近三年同类排名均位列前2%(36/1855、37/1794、20/1675),近七年同类排名前1%(8/794),多维度的排名都稳居前列。

注:基金净值增长率及同期业绩比较基准收益率数据来源于富国基金,仅为富国中小盘精选混合A/B份额数据,以上各区间的基金净值增长率和业绩比较基准收益率已经经托管人复核,基金业绩及比较基准折线图基于每日经托管复核的基金份额净值数据生成。时间截至2026年1月16日,基金收益率不代表投资者实际收益率,基金份额净值仅为每份额基金产品的净资产。排名数据来源于晨星,截至2025/12/31,近一年、近两年、近三年、近七年业绩同类排名为36/1855、37/1794、20/1675、8/794,同类产品为中国开放式基金-积极配置-大盘成长;同类排名数据由版权所有。晨星及其内容供应商对于您使用任何相关资料而作出的任何有关交易,投资决定均不承担任何责任。过往业绩不代表将来表现。同类排名结果系评价机构基于基金过往表现综合判定,并不构成对基金管理人或单只产品的未来投资建议。富国中小盘精选混合A/B成立于2015/01/23,业绩比较基准为中证700指数收益率*80%+中债综合财富指数收益率*20%。近5个完整年度(2020-2024)的基金份额净值增长率(及同期业绩比较基准收益率)为83.69%(23.06%),8.91%(9.53%),-21.92%(-17%),-5.06%(-5.28%),10.11%(8.62%),数据来自基金定期报告,截至2024/12/31。期间基金经理变动情况:曹晋(2015/01/23至今)。基金收益率不代表投资者实际收益率,基金份额净值仅为每份额基金产品的净资产。基金历史业绩不构成对未来业绩的保证。
富国高端制造行业
A类代码类代码
基金经理毕天宇
数据显示,截至1月16日,富国高端制造行业A净值达4.6240。从业绩表现来看,近1年净值增长率65.38%;同期业绩比较基准24.17%;超额收益为41.21%;成立来净值增长率362.40%;同期业绩比较基准118.72%;超额收益为243.68%,实现了持续的阿尔法收益。

注:基金净值增长率及同期业绩比较基准收益率数据来源于富国基金,以上区间的基金净值增长率和业绩比较基准收益率已经经托管人复核,时间截至2026年1月16日,基金收益率不代表投资者实际收益率,基金份额净值仅为每份额基金产品的净资产。富国高端制造行业股票A/B成立于2014/06/20,业绩比较基准为中证800指数收益率*80%+中债综合指数收益率*20%。近5个完整年度(2020-2024)的基金份额净值增长率(及同期业绩比较基准收益率)为66.06%(21.39%),15.15%(0.61%),-29.13%(-16.65%),-0.65%(-7.41%),-4.14%(11.72%),数据来自基金定期报告,截至2024/12/31。期间基金经理变动情况:毕天宇(2014/06/20至今)、厉叶淼(2015/08/10-2018/10/24)。基金收益率不代表投资者实际收益率,基金份额净值仅为每份额基金产品的净资产。基金历史业绩不构成对未来业绩的保证。
富国互联科技
A类代码 C类代码
基金经理许炎
数据显示,从业绩表现来看,富国互联科技A近6个月净值增长率达75.34%,较同期业绩比较基准,实现32.39%的超额收益;近1年净值增长率达82.51%,较同期业绩比较基准的48.44%,实现了34.07%的超额收益。

注:各区间基金净值增长率及同期业绩比较基准收益率数据来源于富国基金,截至2025年12月31日,已经基金托管人复核。富国互联科技股票型A成立于2019/03/26,业绩比较基准为中证互联网指数收益率*80%+中证全债指数收益率*20%。近5个完整年度(2020-2024)的基金份额净值增长率(及同期业绩比较基准收益率)为84.98%(14.74%),12.94%(4.48%),-23.14%(-23.67%),-13.13%(5.12%),14.64%(16.15%),数据来自基金定期报告,截至2024/12/31。期间基金经理变动情况:许炎(2019/03/26至今)。
基金收益率不代表投资者实际收益率,基金份额净值仅为每份额基金产品的净资产。基金历史业绩不构成对未来业绩的保证。基金有风险,投资需谨慎。
富国低碳新经济
A类代码 C类代码

基金经理杨栋
数据显示,截至1月16日,富国低碳新经济A类基金份额近1年收益翻倍,净值增长率103.02%;同期业绩比较基准16.90%;超额收益为86.12%。成立来净值增长率380.05%;同期业绩比较基准21.08%;超额收益为358.97%。


注:基金净值增长率及同期业绩比较基准收益率数据来源于富国基金,基金业绩及比较基准折线图基于每日经托管复核的基金份额净值数据生成,仅为富国低碳新经济A类基金份额数据,截至2026年1月16日,以上各区间的基金净值增长率和业绩比较基准收益率已经经托管人复核,基金净值增长率不代表投资者实际收益率,基金份额净值仅为每份额基金产品的净资产。基金有风险,投资需谨慎。富国低碳新经济混合A成立于2015/12/18,业绩比较基准为中证800指数收益率*60%+中债综合全价指数收益率*40%。近5个完整年度(2020-2024)的基金份额净值增长率(及同期业绩比较基准收益率)为89.56%(15.48%),16.92%(0.72%),-33.06%(-12.81%),-5.14%(-5.4%),-1.84%(9.92%),数据来自基金定期报告,截至2024/12/31。期间基金经理变动情况:杨栋(2015/12/18至今)。基金收益率不代表投资者实际收益率,基金份额净值仅为每份额基金产品的净资产。基金历史业绩不构成对未来业绩的保证。
富国新兴产业
A类代码类代码
基金经理孙权
数据显示,截至1月16日,富国新兴产业A净值达4.1215。从业绩来看,近1年净值增长率80.93%;同期业绩比较基准23.45%;超额收益为57.48%。近2年净值增长率164.20%;同期业绩比较基准38.64%;超额收益为125.56%。成立来净值增长率312.15%;同期业绩比较基准42.68%;超额收益为269.47%。
从排名来看,根据晨星数据,截至2025年12月31日,近两年同类排名第3(3/189),近三年同类排名第2(2/145),近五年同类排名第2(2/68),近七年同类排名第1(1/24)。

注:基金净值增长率及同期业绩比较基准收益率数据来源于富国基金,截至2026年1月16日,以上各区间的基金净值增长率和业绩比较基准收益率已经经托管人复核,基金净值增长率不代表投资者实际收益率,基金份额净值仅为每份额基金产品的净资产。排名数据来源于晨星,截至2025/12/31,同类产品为中国开放式基金-沪港深股票;同类排名数据由版权所有。晨星及其内容供应商对于您使用任何相关资料而作出的任何有关交易,投资决定均不承担任何责任过往业绩不代表将来表现。同类排名结果系评价机构基于基金过往表现综合判定,并不构成对基金管理人或单只产品的未来投资建议。基金有风险2026年市场热点轮动,主动股票型基金收益情况如何?,投资需谨慎。富国新兴产业股票A/B成立于2015/03/12,业绩比较基准为中证800指数收益率*70%+中债综合指数收益率*20%+中证港股通综合指数(人民币)收益率*10%。近5个完整年度(2020-2024)的基金份额净值增长率(及同期业绩比较基准收益率)为44.98%(21.39%),7.45%(0.61%),-13.52%(-16.65%).-1.61%(-7.41%),26.07%(11.72%),数据来源于基金定期报告,截至2024/12/31。期间基金经理变动情况:魏伟(2015/03/12-2020/07103)、方纬(2020/07/03-2022/03/24)、孙权(2022/02/28至令)。基金收益率不代表投资者实际收益率,基金份额净值仪为每份额基金产品的净资产。基金历史业绩不构成对未来业绩的保证。基金收益率不代表投资者实际收益率,基金份额净值仅为每份额基金产品的净资产。基金历史业绩不构成对未来业绩的保证。
富国全球科技互联网
A类代码 C类代码
基金经理赵年珅
从富国全球科技互联网A的三季度持仓来看,减仓了部分深度价值的品种,加仓了部分更符合产业趋势的品种。考虑到全球大模型的持续进化主要发生在美国,持仓的方向在2025年3季度更加偏向美股的科技股,在港股和A股则更加集中于头部互联网公司。
基金经理赵年珅则擅长在港股科技赛道里挑出高性价比标的。选股策略为自下而上,目标持有现金流良好的优质成长股,阶段性配置周期成长股和高股息股票;选股标准偏好成长性有吸引力、现金流良好、有竞争壁垒的行业龙头或者细分行业龙头。
注:观点来源基金三季报,时间截至2025年9月30日,富国全球科技互联网股票(QDII)A成立于2011/07/13,业绩比较基准为中证海外中国互联网指数收益率*80%+中证互联网指数收益率*10%+中债综合全价指数收益率*10%。近5个完整年度(2020-2024)的基金份额净值增长率(及同期业绩比较基准收益率)为57.7%(42.29%),-12.85%(-41.85%),-18.52%(-8.42%),14.72%(-4.67%),19.86%(15.41%),数据来自基金定期报告2026年主动股票型基金整体收益率,截至2024/12/31。期间基金经理变动情况:张峰(2011/07/13-2018/12/05)、李军(2012/11/16-2014/04/25)、张康康(2018/06/19-2020/01/10)、张峰(2019/06/21-2022/01/13)、宁君(2020/01/22-2025/11/13)、赵年珅(2025/03/07至今)。基金收益率不代表投资者实际收益率,基金份额净值仅为每份额基金产品的净资产。基金历史业绩不构成对未来业绩的保证。
富国新活力
A类代码 C类代码
基金经理吴栋栋
从排名来看,富国新活力A近一年、近三年、近五年同类排名均位列第4(4/81、4/80、4/80),近七年位列同类排名第2(2/77)。

注:基金净值数据来源于富国基金,基金收益率不代表投资者实际收益率,基金份额净值仅为每份额基金产品的净资产。富国新活力A类份额近1年、近3年、近5年、近7年同类排名为4/81、4/80、4/80、2/77,同类产品为灵活配置型基金(基准股票比例0-30%)(A类),排名数据来源于银河证券,截至2025/12/31。基金评价结果基于基金和管理人过往表现综合判定,并不构成对基金管理人或单只产品的未来投资建议。富国新活力灵活配置混合A成立于2017/06/01,业绩比较基准为中债综合全价指数收益率*80%+沪深300指数收益率*20%。近5个完整年度(2020-2024)的基金份额净值增长率(及同期业绩比较基准收益率)为61.33%(5.32%),19.16%(0.87%),-17.79%(-4.06%),-15.25%(-0.64%),17.97%(7.24%),数据来自基金定期报告,截至2024/12/31。期间基金经理变动情况:钟智伦(2017/06/01-2018/12/12)、方旻(2017/06/09-2018/12/12)、肖威兵(2018/12/05-2020/01/10)、俞晓斌(2019/06/21-2020/07/10)、孙彬(2019/08/28-2023/02/23)、吴栋栋(2023/02/23至今)。基金收益率不代表投资者实际收益率,基金份额净值仅为每份额基金产品的净资产。基金历史业绩不构成对未来业绩的保证。
富国周期优势
A类代码 C类代码
基金经理沙炜
数据显示,截至1月16日,富国周期优势净值达3.1646。从业绩表现来看,近1年净值增长率51.47%;同期业绩比较基准18.97%;超额收益为32.50%。成立来净值增长率251.75%;同期业绩比较基准38.20%;超额收益为213.55%。

注:基金净值增长率及同期业绩比较基准收益率数据来源于富国基金,截至2026年1月16日,以上各区间的基金净值增长率和业绩比较基准收益率已经经托管人复核,基金净值增长率不代表投资者实际收益率,基金份额净值仅为每份额基金产品的净资产。基金有风险,投资需谨慎。富国周期优势混合A成立于2018/07/10,业绩比较基准为沪深300指数收益率*80%+中债综合全价指数收益率*20%。近5个完整年度(2020-2024)的基金份额净值增长率(及同期业绩比较基准收益率)为72.88%(21.73%),14.89%(-3.52%),-20.11%(-17.37%)2026年市场热点轮动,主动股票型基金收益情况如何?,-9.23%(-8.71%),6.14%(13.08%),数据来自基金定期报告,截至2024/12/31。期间基金经理变动情况:刘博(2018/07/10-2022/01/07)、蒲世林(2021/12/08-2025/07/18)、沙炜(2025/07/15至今)。基金收益率不代表投资者实际收益率,基金份额净值仅为每份额基金产品的净资产。基金历史业绩不构成对未来业绩的保证。
富国新材料新能源
A类代码 C类代码
基金经理徐智翔
从业绩表现来看,富国新材料新能源A近1年净值增长率84.94%;同期业绩比较基准22.83%;超额收益为62.11%。近3年净值增长率63.58%,相较同期业绩比较基准的23.25%,实现超额收益40.33%。从排名来看,富国新材料新能源A近三年同类排名第1(1/19)。

注:基金净值增长率及同期业绩比较基准收益率数据来源于富国基金,截至2026年1月5日,以上各区间的基金净值增长率和业绩比较基准收益率已经经托管人复核,基金净值增长率不代表投资者实际收益率,基金份额净值仅为每份额基金产品的净资产。富国新材料新能源A类份额近3年同类排名为1/19,同类产品为新能源主题行业偏股基金(A类),排名数据来源于银河证券,截至2025/12/31。基金评价结果基于基金和管理人过往表现综合判定,并不构成对基金管理人或单只产品的未来投资建议。基金有风险,投资需谨慎。富国新材料新能源混合A成立于2020/06/24,业绩比较基准为中证全指一级行业能源指数收益率*40%+中证全指一级行业材料指数收益率*40%+中债综合指数收益率*20%。近4个完整年度(2021-2024)的基金份额净值增长率(及同期业绩比较基准收益率)为31%(26.79%),-17.62%(-4.6%),3.36%(-2.16%),-6.93%(5.93%),数据来自基金定期报告,截至2024/12/31。期间基金经理变动情况:徐斌(2020/06/24-2021/11/05)、徐智翔(2021/11/04至今)。









